|
WIE BRINGE ICH MEIN MOTORRAD UM DIE ECKE? |
|
Motorradfahren ist eine Art Fortbewegung, die sehr viel Freude bereiten kann. Vielfach wird aber vergessen, dass diese Freude, dieses Vergnügen einfachen physikalischen Gesetzen folgt. Dies betrifft vor allen Dingen Prozesse, die an der Schnittstelle Straße/Motorrad ablaufen. |
|
Die Haftreibung zwischen Reifen und Strasse liegt zwischen 1,2 und 0,1. |
|
Volker hat sich mal drangesetzt und den Kammschen Kreis in Excel realisiert. |
|
|
kammscherkreisinteraktiv.xls [32 KB] |
|
LED-Blinker Umrüstung im Eigenbau |
|
Besitzer eines Motorrades stehen vielleicht vor der Entscheidung herkömmliche Blinker mit Glühlampen auf LED (Light Emitting Diode) umzurüsten. |
|
|
und die Gleichung zur Berechnung der elektrischen Leistung. |
|
|
Das Ohmsche Gesetz kann durch den Vergleich mit einem Fluß veranschaulicht werden. Die Spannung U ist dabei das Gefälle, die Stromstärke (oder kurz einfach nur Strom) I ist die Menge und R ist ein Maß dafür, wieviel (Fließ-) Widerstand das Flußbett (z.B. durch Verengungen) dem Strom entgegensetzt. Befinden sich dabei z.B. im Fluß Inseln, verzweigt sich der Strom in die Teil-Ströme entsprechend des jeweiligen Widerstandes der ihm zwischen den Inseln entgegengesetzt wird, um sich dann nach den Inseln wieder zum Gesamt-Strom zu vereinen ("erstes Kirchhoffsche Gesetz"). |
|
|
Die Gleichung der elektrischen Leistung P kann man dabei mit Hilfe eines wasserangetriebenen Mühlenrades verdeutlichen. Je größer das Gefälle (U) bzw. der Strom (I, bzw. die Menge), desto größer die Leistung die für den Antrieb des Mühlenrades verbraucht wird. |
|
Berechnung des Widerstandes |
|
|
Mit Hilfe von Gl. (2) berechnet sich der Strom zum Beispiel für den Blinker vorne zu |
|
|
Da die Blinker vorne und hinten die gleiche Leistung haben, addieren sich die Teilströme (wie beim Fluß mit den Inseln) durch die Glühbirnen zum Gesamtstrom von I = 3.5A. |
|
|
Die LED"s geringerer Leistungsaufnahme (in dem Beispiel P = 2W) benötigen dagegen nur den Strom von |
|
|
Das Blinker-Relais ist aber für eine höhere Gesamt-Leistung (P = 2 x 21W = 42W) und damit auch Strom (3.5A) ausgelegt. Die überschüssige Leistung pro mit LED ausgetauschter Glühbirne muß also abgeführt werden. Dafür schaltet man einen zusätzlichen Verbraucher in Form eines Widerstandes R parallel zur LED dazu. Dieser setzt elektrische Leistung in Wärme um. Der erforderliche Wert des Widerstandes Rv berechnet sich nach Gl. (1) aus der Spannung und der Differenz der Ströme von Glühbirne und LED |
|
|
Damit ergibt sich das geänderte Schaltbild für LED |
|
|
Warum wird der Widerstand nicht in Reihe (Serie) geschaltet? |
|
|
Was ist zu beachten beim Widerstand? |
|
|
Mit Gl.(2), ebenfalls auf I umgestellt und für verschiedene Spannungen berechnet, |
|
|
kann in das gleiche Diagramm die sogenannte Leistungshyperbel eingetragen werden. Der Schnittpunkt der Widerstandskennlinie mit der Leistungshyperbel markiert die Belastungsgrenze des Widerstandes. In unserem Fall U=12V und I=1.58A. Stromwerte unterhalb der Kurve sind im Dauerbetrieb zulässig, bei |
|
|
Werten darüber wird der Widerstand überlastet. |
|
|
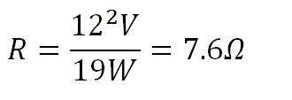
Nun kann direkt, ohne den Umweg zuerst die Ströme auszurechen, bei Kenntnis der Spannung und der über den Widerstand zu verbrauchenden Leistung (Differenz Leistung von Glühbirne und LED), der Widerstand bestimmt werden. |
|
|
Anstelle bei jedem Blinker auf einer Seite einen Widerstand von 7.6 parallel zum LED einzubauen, also insgesamt 2 Widerstände für eine Seite, könnte man auch nur einen, entsprechend großen Widerstand auf der jeweiligen Seite einbauen. Mit Gl.(5) errechnet sich dieser mit der benötigten Verlustleistung für die beiden ersetzten Glühlampen von P = 2 * 19W zu 3.6 . Praktisch steht dem aber im Weg, einen geeigneten Einbauort im Kabelbaum des Motorrades zu finden. Zumal der entsprechend großen Widerstand die abzuführende Verlustleistung von 38W in Form von Wärme bei immerhin I=3.16A abgibt. Da ist es besser und einfacher zum Einbau vorverdrahtete Widerstände bei jedem Blinker einzeln einzubauen. |
|
Noch ein Hinweise zum Aufwand |
|
Disclaimer |
















